#P11829. [TOIP2024] 棲息地分配
[TOIP2024] 棲息地分配
题目描述
有 隻貓活動於某個地區,每隻貓各有其棲息地,編號為 到 。棲息地之間有 條道路連接,道路總數不超過 。第 條道路連接第 個棲息地和第 個棲息地,貓可以沿著這些道路在棲息地之間雙向移動,且不會有兩條不同的道路連接著同一對棲息地。有 個動保團體要接管此地區,請你協助將這 個棲息地分配給這 個團體,滿足以下要求:
- 每個棲息地僅由 個團體管理,且每個團體需要管理至少 個棲息地。每個團體所屬的棲息地之間不一定要連通。
- 為了方便管理,每個團體會移除由該團體負責的棲息地之間的道路。換句話說,若有一條道路連接的兩個棲息地被分配到同一個團體,該道路會被移除。
- 這些道路移除後,剩餘的道路不可以形成「環」,以免貓可能會繞著環奔跑,讓工作人員難以捉捕。也就是說,不可以存在一個兩兩相異的棲息地序列 ,滿足 ,且對於所有 ,棲息地 和棲息地 都有一條未被移除的道路連接、同時 和 也有一條未被移除的道路連接。
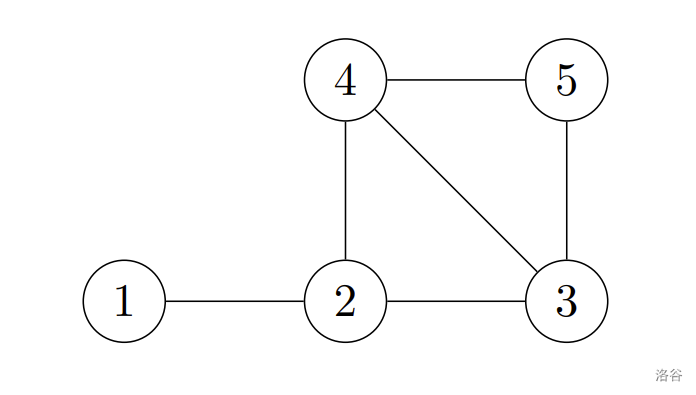
舉例,有 個棲息地,道路連接如下圖所示

我們可以將第 , , 個棲息地分配給第 個團體,第 個棲息地分配給第 個團體,第 個棲息地分配給第 個團體。 移除掉道路後,如下圖所示

剩餘道路不存在環,所以這是一種滿足目標的分配方式。
請輸出這 個團體應該分別管理哪些棲息地,若有多種分配方式滿足條件,輸出任意一種。
输入格式
- 表示測試資料個數。
- 為第 筆測試資料。
每一筆測試資料的輸入格式如下:
- 為貓的棲息地數量。
- 為道路數量。
- 為第 條道路連接的棲息地編號。不會有兩條不同的道路連接著同一對棲息地。
输出格式
輸出 筆測試資料之答案:
- 為第 筆測試資料之答案。
每一筆測試資料答案的輸出格式如下
- 為第 個團體分配到的棲息地總數。
- 為第 個團體分配到的第 個棲息地。
若該筆測試資料不存在所求的分法,請輸出 -1。
1
5 6
1 2
2 3
3 4
4 5
5 3
4 2
3 3 4 5
1 1
1 2
2
5 4
1 2
1 3
3 4
3 5
5 4
1 2
2 3
1 3
4 5
2 1 2
1 3
2 4 5
3 1 2 3
1 4
1 5
提示
測資限制
- 。
- 。
- 。
- ,。
- 所有測試資料中, 的總和不超過 。
評分說明
本題共有四組子任務,條件限制如下所示。 每一組可有一或多筆測試資料,該組所有測試資料皆需答對才會獲得該組分數。
| 子任務 | 分數 | 額外輸入限制 |
|---|---|---|
| 1 | 輸入滿足 ,且所有的棲息地連通。 | |
| 2 | 輸入保證存在兩個以上的棲息地互相無法抵達。 | |
| 3 | 輸入滿足所有測試資料中, 的總和不超過 。 | |
| 4 | 無額外限制。 |